Calculatrice LCOE avec des outils de comparaison
Calculatrice avec guide complet -
En vedette
2 Votes


Description
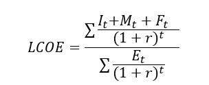
Calculatrice LCOE gratuite pour trouver le coût d'énergie nivelé par kWh.Utilisé afin que vous puissiez comparer les différents projets que vous envisagez.Totalement gratuit et sans aucune connexion.Résultats instantanés sans aucun problème!